Image optimization

The image format determines the set of available features such as whether transparency is available or not. Moreover, the format choice significantly impacts the final quality-to-size ratio of an image.

Choosing the right image format

We will distinguish between the two main types of image formats: Vector formats and raster formats. As a reminder, Vector image formats use shapes and curves to describe image content, whereas Raster image formats partition the images in a grid of pixels, each of which contains the color information at the respective grid position. While there are multiple raster formats to choose from, support for vector formats in the web is basically limited to Scalable Vector Graphics. On the upside, SVG is supported by virtually all browsers, whereas many raster formats are only supported by specific browser vendors.

Decision tree for choosing the most space-efficient image format. Support for multiple browsers might lead to multiple formats.

SVG images are generally superior to raster formats in web applications. They can be scaled without quality loss[1] which allows a single image to be rendered perfectly on different display resolutions. Since SVGs are described by primitve shapes and mathematical curves they are well suited for artificial and abstract content such as logos or infographics. SVG also allows to leverage the computer as a medium as it provides support for animated or even interactive content. Use SVG whenever possible.

Sometimes it is not possible to use SVG, for example, if the tools do not support vector formats or if the design team simply delivered all assets in raster formats. The first raster format of this overview will be Portable Network Graphics (PNG). PNG is raster image format that provides optional alpha transparency, uses a lossless compression algorithm, and is supported by basically all browsers. What makes PNG special is its support for a color palette. The color palette is used to map a pixel index to the pixel's color. Therefore, PNG is very well suited for imagery with a limited number of colors.[2]

If your image contains photographic content JPEG is a safe choice since it is supported by all browsers. However, unlike other formats it does not support alpha channel transparency. Unlike PNG, it uses a lossy compression algorithm, but does not compress not as well as many other formats.

JPEG XR supports alpha transparency and generally performs better than JPEG.[3] It is currently supported by Internet Explorer and Internet Explorer mobile, as well as Edge. JPEG XR also provides a lossless mode of operation. Note, however, that lossless image compression is generally outperformed by lossy compression algorithms. The lossless operation modes of JPEG XR and the following image formats will therefore be ignored for the rest of this article.

JPEG 2000 is performing even better than JPEG XR[3:1], but is only available for Safari and Safari for iOS.

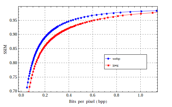
The WebP image format consistently outperforms JPEG across all quality levels.

Similarity of the compressed image to the original for a target compression ratio using JPEG compression (red) and WebP compression (blue). (taken from WebP Compression Study)

It produces images that are roughly 30% smaller than the corresponding JPEG image. WebP is supported by Chrome, Opera and their mobile counterparts. After Microsoft landed support for WebP in Edge 18, Mozilla has included support for WebP starting with Friefox 65. Browser support therefore looks very good across all major browsers, except Safari.

As you can see, JPEG images are outperformed by any other presented format. Ideally, one would use WebP as a raster format for all clients. Due to limited browser support this may not be an option, though. In order to decrease image size as far as possible, we have to deliver the best image format for the respective browser. This means we make the image available multiple formats and let the browser decide which version to display. We can leverage the <picture> HTML element for this:

<picture>
  <source srcset="image.webp" type="image/webp">
  <source srcset="image.jp2" type="image/jp2">
  <img src="image.jpeg" type="image/jpeg">
</picture>

Each source element specifies a different image format to be displayed. Browsers that support the picture element will choose the most appropriate format available. That means if you visit the page using Chrome, it will load the WebP version, whereas a Safari client will load the JPEG 2000 version. If none of the formats in the source elements are supported, the browser will load the image referenced by the img tag as a fallback. Browsers that do not support the picture element, such as the Internet Explorer[4] or Opera Mini[5], will also load the fallback image. If you desparately need support for these browsers it is possible to use a polyfill.

Exactly which image formats should be used on a website depends on the specific requirements. However, serving the optimal image format to a subset of visitors will reduce page weight. This, in turn, will be reflected in lower costs for network traffic and faster loading times. Ultimately, this leads to more visitors and visitors staying longer on your website.


  1. Vector graphic scalability is in fact limited by floating-point accuracy, but their scalability can be considered indefinite for most practical purposes ↩︎

  2. "Limited" amount as in "up to a few hundred", not millions of distinct color values ↩︎

  3. Simone et al. (2009) - Subjective evaluation of JPEG XR image compression ↩︎ ↩︎

  4. Since Internet Explorer does not support the <picture> element, there is no reason to include a JPEG XR version of the image in the <source> elements. ↩︎

  5. Opera Mini supports WebP but does not support the <picture> element. The presented solution will cause Opera Mini clients to load the fallback JPEG image. However, Opera Mini uses the Opera proxy by default. This proxy transcodes websites and contained images in order to preserve bandwidth. Therefore, chances are high that an Opera Mini user is shown a different image than what the developer intended, anyway. ↩︎